André L. M. Vilela
Investigates the Physics of Complex Systems, focusing on unveiling the underlying mathematical mechanisms that drive the behavior of interacting elements within the complex network's framework and how their behavior promotes active collective phenomena.
Complex Science
Computational advances and straightforward access to vast databases promoted a substantial change in science. Nowadays, we face an immense set of available data: from financial transactions to pedestrians' movement, from coronavirus cases in a region to the average heart rate of a group of people, from the chain of energy transmission to the topics people chat with friends on social internet networks. 21st Century Physics proves to be the most powerful tool for understanding the universal laws that control the dynamics of assembling such data sets. It's the Physics of the Data. What does an investor plan to do with his money in three and six months? Is there a pattern? How do we estimate how many people will go against health recommendations and use public transportation without a mask amid a pandemic? What is the chance that an e-mail advertisement for a product will result in a negotiation? Since planetary motion observations, today's physicists ask what science the data hides. There is strong growth in investigating several real-world systems composed of many pieces interacting in a network of connections. The Physics of Complex Systems is a field of science that uses mathematical tools and the Laws of Nature to understand the behavior of a large amount of information in the light of natural phenomena and subject to possibly invariable laws, whose discovery is a special object of their research.

Figure 1. An illustration of social connections using a scale-free network with N = 100 nodes and z = 5 (left), and the degree distribution histogram P(k) for a single network of size N = 20000, with z = 1, 2, 5, 10 and 20 (right). The straight line is a guide to the eye and has slope corresponding to the network’s predicted degree exponent of decay λ = 3. (Three-state Majority-Vote Model on Barabási-Albert and Cubic Networks and the Unitary Relation for Critical Exponents, Scientific Reports, 2020)
The comprehensive view of my research includes the physics of systems with many components and the collective behavior of Nature. I appreciate the relative simplicity in which Nature functions when we group many similar elements in an intricate set of exchanges and associations: atoms, electrons, sand, people, societies, economies, countries, planets, stars and galaxies. How do they self-organize, and how do they change? Toward this focus, I employ the tools of the Statistical Mechanics to solve the puzzles of interdisciplinary science.

Figure 2. Schematic illustration of the cascading process of the coupled networks A and B with sizes NA = NB = 7. The curve and dash lines describe connectivity links within both networks and support links between networks, respectively. The red and blue dash lines denote that nodes in networks B and A are supported by nodes of networks A and B, respectively. At the initial stage, nodes A1 and B7 are attacked (red arrows) and become nonfunctional, as shown in (a). In the first stage of network A, only functional nodes A3, A4, A5, and A7, which belong to the giant component of network A and are supported by at least M = 2 effective support links, are preserved (b). In the first stage of network B, only nodes B2, B4, and B6, subject to the condition of being functional nodes, are kept (c). In (d), the corresponding links attaching fail nodes are removed. Furthermore, no more nodes fail in the cascade of failures, and the system reaches a stable state after one step. (Percolation on coupled networks with multiple effective dependency links, Chaos, 2021)
My research focuses on the application of agent-based models to investigate collective behavior and data characterization mapped by interactions in complex networks. Such systems have theoretical and practical applications in the scope of unveiling the dynamics of epidemics, propagation of fake news, tax evasion, opinion formation, communication systems, security in IoT (Internet of Things) devices, time series forecasting, financial markets, economic growth, political stability, blockchain, traffic flow, and multi-component systems of our modern world society.

Figure 3. Local natural gas scarcity risks. Five main sectors in the top ten countries suffered from natural gas scarcity-induced economic risk. (Natural Gas Scarcity Risk for Countries along the Belt and Road, Energies, 2022)
THEMES INVESTIGATED
Opinion Dynamics: Voter and Consensus Systems
Sociophysics is the science of the possible invariable laws that rule social phenomena. My analysis focuses on developing agent-based models for investigating complex social dynamics mapped in networks of interactions. The central hypothesis is that the opinion of an individual at a given moment in time depends on the opinion of his connected individuals. Despite their simplicity, several opinion models present exuberant physical phenomena as critical points, percolation, phase transitions, and topological scaling relations.
Figure 4. Snapshots of a single simulation on a square network with 𝐿 = 200, 𝑞 = 0.12 and noise sensibility 𝜇= 0.5. (a) cooperative fraction 𝑓 = 0.00, (b) 𝑓 = 0.20, (c) 𝑓 = 0.50, and (d) 𝑓 = 1.00. Increasing 𝑓 promotes social system consensus. White (black) dots represent +1 (−1) opinions. (Entropy production on cooperative opinion dynamics, Chaos, Solitons and Fractals, 2024)

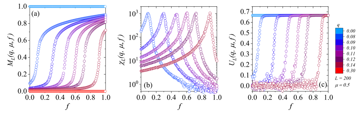
Figure 5. Disorder–order transitions induced by the fraction of cooperative agents. In this configuration, 𝐿 = 200 and 𝜇 = 0.5 for different values of 𝑞. Figures (a), (b), and (c) stand for magnetization, susceptibility, and Binder cumulant, respectively. From left to right, 𝑞 = 0.08,0.09,0.10,0.11,0.12 and 0.14. Results for 𝑞 = 0.0 and 𝑞 = 0.3 are insensitive to 𝑓 for 𝜇 = 0.5. (Entropy production on cooperative opinion dynamics, Chaos, Solitons and Fractals, 2024)
Opinion dynamics is the object of study of many types of research in Statistical, Theoretical, and Computational Physics, with recent robust applications in digital security, decentralized data encryption, and blockchain technology.
Spin Models and Financial Systems
In recent years, there has been a significant interest in using the Statistical Mechanics methods to study the diffusion of information in a network of interactions and its influence on the dynamics of investors in financial markets. Econophysics investigates the phenomena associated with the Physics of economic systems and financial markets reflect the economic activity of nations, industries, companies, and societies. The recent housing market crash, COVID-19 pandemic, high inflation indices, and cryptocurrency frenzy have illustrated the decisive influence of such systems in modern culture.

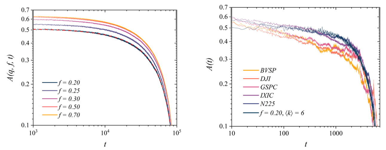
Figure 6. (Left) Log-log plot of the autocorrelation of absolute logarithmic returns for 〈k〉 = 6 and q = 0.240. The dashed red line represents the exponential fit for the data. (Right) Log-log plot of the autocorrelation of absolute logarithmic returns of the closing values for several financial indices and for 〈k〉 = 6, q = 0.240 with f = 0.20 (dark blue). (Opinion dynamics in financial markets via random networks, PNAS, 2022)
In this context, several research works employ spin models as a natural choice to investigate the factors that drive investors' behavior in financial and stock markets and such models present the main quantitative and qualitative characteristics observed in real-world financial markets, such as volatility clustering, exponential correlation decay, and fat-tailed distributions of wealth.
The Science of Networks and Complex Networks
The study of Complex Networks has developed quite rapidly and has become one of the most active fields in interdisciplinary research. The essential dedication of network science is to understand how networks of interactions operate in our World, from the network of biochemical processes in a cell to a chain of food production and its relationship to the stock market. Societies, which can be understood as networks of social interactions, can propagate information such as ideas, opinions, and diseases within these complex web-like structures.

Figure 7. Main clusters of keyword co-occurrence network. (The Evolution of Industrial Management & Data Systems over the past 25 years: a bibliometric overview, Industrial Management & Data Systems, 2019)
Other exchanges may involve organizations, financial dependencies, and commercial or military security systems, where functional relationships operate through interactions represented by contacts in a network. Modeling a network of connections consists of using a set of nodes and links, organized according to structural rules. The geometric arrangement of these structures can take remarkably different forms. Regular networks have a recurrence of configurations and sequences in their geometry. A random network consists of a set of nodes that are randomly connected, while a scale-free network is constructed in such a way that the number of connections that a given node has exhibits a power-law distribution.
RESEARCH INTERESTS
- Complex Systems
- Sociophysics and opinion models
- Econophysics and financial markets
- Statistical Statistics and Phase Transitions
- Monte Carlo method and computational simulations
- Time series analysis
